Blog

Continue Reading

  • Western pressure to hit Asian buying of Russian oil from December, sources say – Reuters

    1. Western pressure to hit Asian buying of Russian oil from December, sources say  Reuters
    2. Cheap oil, high stakes: Can India do without Russia?  BBC
    3. Oil drops 1%, settles at 5-month lows as Trump-Putin summit looms  Reuters
    4. Trump claimed India had…

    Continue Reading

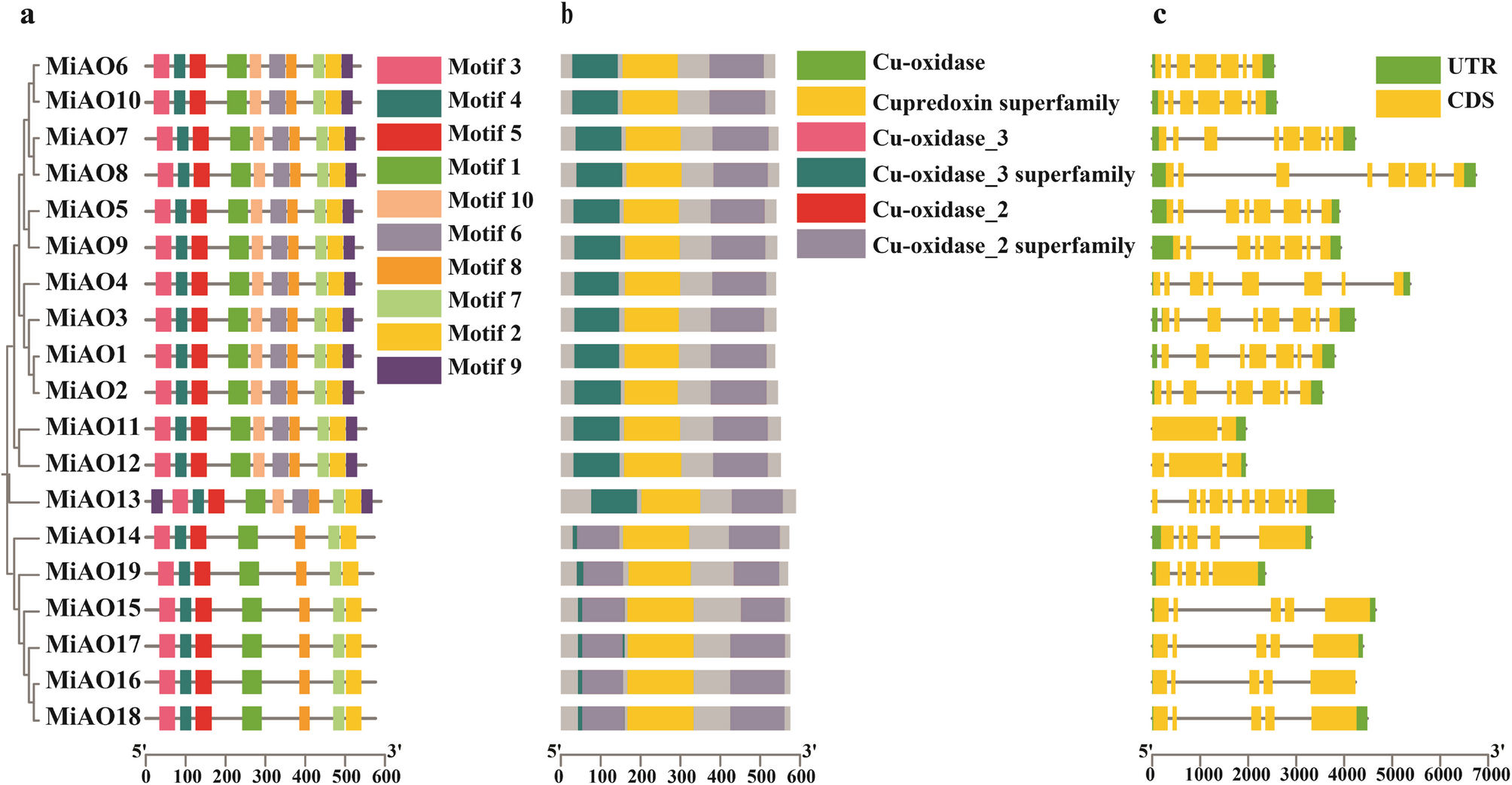
  • A genome-wide analysis of ascorbate oxidase gene family and hormonal activity in mango exposed to enhanced UV-B radiation | BMC Plant Biology

    A genome-wide analysis of ascorbate oxidase gene family and hormonal activity in mango exposed to enhanced UV-B radiation | BMC Plant Biology

  • Pérez V, Herrero M, Hormaza J. Self-fertility and preferential cross-fertilization in mango (Mangifera indica). Sci Hortic. 2016;213:373–8.

    Article 

    Google Scholar 

  • Jaglan P, Buttar HS, Al-bawareed O, Chibisov S. Potential health benefits of selected fruits: Apples, blueberries, grapes, guavas, mangos, pomegranates, and tomatoes. Functional foods and nutraceuticals in metabolic and non-communicable diseases. Elsevier; 2022. pp. 359–70.

  • Jahurul M, Zaidul I, Ghafoor K, Al-Juhaimi FY, Nyam K-L, Norulaini N, et al. Mango (Mangifera indica L.) by-products and their valuable components: a review. Food Chem. 2015;183:173–80.

    Article 
    CAS 
    PubMed 

    Google Scholar 

  • Mitra S. Mango production in the world–present situation and future prospect. In: XXIX International Horticultural Congress on Horticulture: Sustaining Lives, Livelihoods and Landscapes (IHC2014)2014;IV 1111:287–296.

  • Zhang D, Chong W, Li X-L. Yield gap and production constraints of mango (Mangifera indica) cropping systems in Tianyang County, China. J Integr Agric. 2019;18(8):1726–36.

    Article 
    CAS 

    Google Scholar 

  • Liu B, Xin Q, Zhang M, Chen J, Lu Q, Zhou X, Li X, Zhang W, Feng W, Pei H. Research progress on Mango post-harvest ripening physiology and the regulatory technologies. Foods. 2022;12(1):173.

    Article 
    CAS 
    PubMed 
    PubMed Central 

    Google Scholar 

  • Tahir H, Sajjad M, Qian M, Haq MZU, Tahir A, Farooq MA, Wei L, Shi S, Zhou K, Yao Q. Glutathione and ascorbic acid accumulation in Mango pulp under enhanced UV-B based on transcriptome. Antioxidants. 2024;13(11):1429.

    Article 
    CAS 
    PubMed 
    PubMed Central 

    Google Scholar 

  • Wu X, Li J, Wei J, Tong K, Xie Y, Chang Q, Yu X, Li B, Lu M, Fan C. Multi-residue analytical method development and dietary exposure risk assessment of 345 pesticides in Mango by LC-Q-TOF/MS. Food Control. 2025;170:111016.

    Article 
    CAS 

    Google Scholar 

  • Simontacchi M, Galatro A, Ramos-Artuso F, Santa-María GE. Plant survival in a changing environment: the role of nitric oxide in plant responses to abiotic stress. Front Plant Sci. 2015;6:977.

    Article 
    PubMed 
    PubMed Central 

    Google Scholar 

  • Singh VP, Singh S, Prasad SM, Parihar P. UV-B radiation: from environmental stressor to regulator of plant growth. Wiley Online Library; 2017.

  • Sharma S, Chatterjee S, Kataria S, Joshi J, Datta S, Vairale MG, Veer V. A review on responses of plants to UV-B radiation related stress. UV‐B Radiation: Environ Stressor Regulator Plant Growth 2017:75–97.

  • Shi C, Liu H. How plants protect themselves from ultraviolet-B radiation stress. Plant Physiol. 2021;187(3):1096–103.

    Article 
    CAS 
    PubMed 
    PubMed Central 

    Google Scholar 

  • Fotopoulos V, De Tullio MC, Barnes J, Kanellis AK. Altered stomatal dynamics in ascorbate oxidase over-expressing tobacco plants suggest a role for dehydroascorbate signalling. J Exp Bot. 2008;59(4):729–37.

    Article 
    CAS 
    PubMed 

    Google Scholar 

  • Foyer CH, Noctor G. Redox homeostasis and signaling in a higher-CO2 world. Annu Rev Plant Biol. 2020;71(1):157–82.

    Article 
    CAS 
    PubMed 

    Google Scholar 

  • Pignocchi C, Foyer CH. Apoplastic ascorbate metabolism and its role in the regulation of cell signalling. Curr Opin Plant Biol. 2003;6(4):379–89.

    Article 
    CAS 
    PubMed 

    Google Scholar 

  • Stevens R, Truffault V, Baldet P, Gautier H. Ascorbate oxidase in plant growth, development, and stress tolerance. Ascorbic acid in plant growth. Dev Stress Tolerance 2017:273–95.

  • Mellidou I, Kanellis AK. Revisiting the role of ascorbate oxidase in plant systems. J Exp Bot. 2024;75(9):2740–53.

    Article 
    CAS 
    PubMed 
    PubMed Central 

    Google Scholar 

  • De Tullio M, Guether M, Balestrini R. Ascorbate oxidase is the potential conductor of a symphony of signaling pathways. Plant Signal Behav. 2013;8(3):e23213.

    Article 
    PubMed 
    PubMed Central 

    Google Scholar 

  • Singh RR, Nobleza N, Demeestere K, Kyndt T. Ascorbate oxidase induces systemic resistance in sugar beet against cyst nematode heterodera schachtii. Front Plant Sci. 2020;11:591715.

    Article 
    PubMed 
    PubMed Central 

    Google Scholar 

  • Batth R, Singh K, Kumari S, Mustafiz A. Transcript profiling reveals the presence of abiotic stress and developmental stage specific ascorbate oxidase genes in plants. Front Plant Sci. 2017;8:198.

    Article 
    PubMed 
    PubMed Central 

    Google Scholar 

  • Pignocchi C, Fletcher JM, Wilkinson JE, Barnes JD, Foyer CH. The function of ascorbate oxidase in tobacco. Plant Physiol. 2003;132(3):1631–41.

    Article 
    CAS 
    PubMed 
    PubMed Central 

    Google Scholar 

  • Sanmartin M, Pateraki I, Chatzopoulou F, Kanellis AK. Differential expression of the ascorbate oxidase multigene family during fruit development and in response to stress. Planta. 2007;225:873–85.

    Article 
    CAS 
    PubMed 

    Google Scholar 

  • Brun A, Smokvarska M, Wei L, Chay S, Curie C, Mari S. MCO1 and MCO3, two putative ascorbate oxidases with ferroxidase activity, new candidates for the regulation of apoplastic iron excess in Arabidopsis. Plant Direct. 2022;6(11):e463.

    Article 
    CAS 
    PubMed 
    PubMed Central 

    Google Scholar 

  • Fotopoulos V, Kanellis AK. Altered apoplastic ascorbate redox state in tobacco plants via ascorbate oxidase overexpression results in delayed dark-induced senescence in detached leaves. Plant Physiol Biochem. 2013;73:154–60.

    Article 
    CAS 
    PubMed 

    Google Scholar 

  • Zhang Y, Li H, Shu W, Zhang C, Zhang W, Ye Z. Suppressed expression of ascorbate oxidase gene promotes ascorbic acid accumulation in tomato fruit. Plant Mol Biol Rep. 2011;29:638–45.

    Article 
    CAS 

    Google Scholar 

  • Garchery C, Gest N, Do PT, Alhagdow M, Baldet P, Menard G, et al. A diminution in ascorbate oxidase activity affects carbon allocation and improves yield in tomato under water deficit. Plant Cell Environ. 2013;36(1):159–75.

    Article 
    CAS 
    PubMed 

    Google Scholar 

  • Potters G, Horemans N, Bellone S, Caubergs RJ, Trost P, Guisez Y, et al. Dehydroascorbate influences the plant cell cycle through a glutathione-independent reduction mechanism. Plant Physiol. 2004;134(4):1479–87.

    Article 
    CAS 
    PubMed 
    PubMed Central 

    Google Scholar 

  • Pan Z, Chen L, Wang F, Song W, Cao A, Xie S, et al. Genome-wide identification and expression analysis of the ascorbate oxidase gene family in Gossypium hirsutum reveals the critical role of GhAO1A in delaying dark-induced leaf senescence. Int J Mol Sci. 2019;20(24):6167.

    Article 
    CAS 
    PubMed 
    PubMed Central 

    Google Scholar 

  • Singh K, Gupta R, Shokat S, Iqbal N, Kocsy G, Pérez-Pérez JM, et al. Ascorbate, plant hormones and their interactions during plant responses to biotic stress. Physiol Plant. 2024;176(4):e14388.

    Article 
    CAS 
    PubMed 

    Google Scholar 

  • Verma V, Ravindran P, Kumar PP. Plant hormone-mediated regulation of stress responses. BMC Plant Biol. 2016;16:1–10.

    Article 

    Google Scholar 

  • Yadav A, Singh D, Lingwan M, Yadukrishnan P, Masakapalli SK, Datta S. Light signaling and UV-B‐mediated plant growth regulation. J Integr Plant Biol. 2020;62(9):1270–92.

    Article 
    CAS 
    PubMed 

    Google Scholar 

  • Yu Z, Duan X, Luo L, Dai S, Ding Z, Xia G. How plant hormones mediate salt stress responses. Trends Plant Sci. 2020;25(11):1117–30.

    Article 
    CAS 
    PubMed 

    Google Scholar 

  • Jansen MA, Coffey AM, Prinsen E. UV-B induced morphogenesis: four players or a quartet? Plant Signal Behav. 2012;7(9):1185–7.

    Article 
    CAS 
    PubMed 
    PubMed Central 

    Google Scholar 

  • Vanhaelewyn L, Prinsen E, Van Der Straeten D, Vandenbussche F. Hormone-controlled UV-B responses in plants. J Exp Bot. 2016;67(15):4469–82.

    Article 
    CAS 
    PubMed 

    Google Scholar 

  • Vandenbussche F, Van Der Straeten D. The role of ethylene in plant growth and development. Annual Plant Reviews 44: Plant Hormone Ethyl. 2012;44:219–41.

    Article 
    CAS 

    Google Scholar 

  • Sun Z, Wen C, Chen Z, Zhang Qa, Fang L, Li J, Jiang S, Cao S. A role for Ethylene-Insensitive 2 gene in the regulation of the ultraviolet-B response in Arabidopsis. Acta Physiol Plant. 2011;33:1025–30.

    Article 
    CAS 

    Google Scholar 

  • Choudhary KK, Singh S, Agrawal M, Agrawal S. Role of jasmonic and Salicylic acid signaling in plants under UV-B stress. Jasmonates Salicylates Signal Plants 2021:45–63.

  • Rao MV, Paliyath G, Ormrod DP, Murr DP, Watkins CB. Influence of salicylic acid on H2O2 production, oxidative stress, and H2O2-metabolizing enzymes (salicylic acid-mediated oxidative damage requires H2O2). Plant Physiol. 1997;115(1):137–49.

    Article 
    CAS 
    PubMed 
    PubMed Central 

    Google Scholar 

  • Durner J. DF Klessig 1995 Inhibition of ascorbate peroxidase by Salicylic acid and 2, 6-dichloroisonicotinic acid, two inducers of plant defense responses. Proc Natl Acad Sci 92 24 11312–6.

    Article 
    CAS 
    PubMed 
    PubMed Central 

    Google Scholar 

  • Esaka M, Fujisawa K, Goto M, Kisu Y. Regulation of ascorbate oxidase expression in pumpkin by auxin and copper. Plant Physiol. 1992;100(1):231–7.

    Article 
    CAS 
    PubMed 
    PubMed Central 

    Google Scholar 

  • SANMARTIN ARTIÑANO M. Regulation of melon ascorbate oxidase gene expression and effect of its modification in Trangenic tobacco and melon plants. Universitat de València; 2002.

  • Duvaud S, Gabella C, Lisacek F, Stockinger H, Ioannidis V, Durinx C. Expasy, the Swiss bioinformatics resource portal, as designed by its users. Nucleic Acids Res. 2021;49(W1):W216-27.

    Article 
    CAS 
    PubMed 
    PubMed Central 

    Google Scholar 

  • Bailey TL, Johnson J, Grant CE, Noble WS. The MEME suite. Nucleic Acids Res. 2015;43(W1):W39-49.

    Article 
    CAS 
    PubMed 
    PubMed Central 

    Google Scholar 

  • Wang J, Chitsaz F, Derbyshire MK, Gonzales NR, Gwadz M, Lu S, et al. The conserved domain database in 2023. Nucleic Acids Res. 2023;51(D1):D384-8.

    Article 
    CAS 
    PubMed 

    Google Scholar 

  • Chen C, Chen H, Zhang Y, Thomas HR, Frank MH, He Y, et al. TBtools: an integrative toolkit developed for interactive analyses of big biological data. Mol Plant. 2020;13(8):1194–202.

    Article 
    CAS 
    PubMed 

    Google Scholar 

  • Chen Q, Han Z, Jiang H, Tian D, Yang S. Strong positive selection drives rapid diversification of R-genes in Arabidopsis relatives. J Mol Evol. 2010;70:137–48.

    Article 
    CAS 
    PubMed 

    Google Scholar 

  • Tahir ul Qamar M, Sadaqat M, Zhu X-T, Li H, Huang X, Fatima K, Almutairi MM, Chen L-L. Comparative genomics profiling revealed multi-stress responsive roles of the CC-NBS-LRR genes in three Mango cultivars. Front Plant Sci. 2023;14:1285547.

    Article 
    PubMed 
    PubMed Central 

    Google Scholar 

  • Wang Y, Tang H, DeBarry JD, Tan X, Li J, Wang X, et al. MCScanX: a toolkit for detection and evolutionary analysis of gene synteny and collinearity. Nucleic Acids Res. 2012;40(7):e49–49.

    Article 

    Google Scholar 

  • Tamura K, Stecher G, Kumar S. MEGA11: molecular evolutionary genetics analysis version 11. Mol Biol Evol. 2021;38(7):3022–7.

    Article 
    CAS 
    PubMed 
    PubMed Central 

    Google Scholar 

  • Lescot M, Déhais P, Thijs G, Marchal K, Moreau Y, Van de Peer Y, Rouzé P, Rombauts S. PlantCARE, a database of plant cis-acting regulatory elements and a portal to tools for in Silico analysis of promoter sequences. Nucleic Acids Res. 2002;30(1):325–7.

    Article 
    CAS 
    PubMed 
    PubMed Central 

    Google Scholar 

  • Li B, Zhang L, Zhu L, Cao Y, Dou Z, Yu Q. HDAC5 promotes intestinal sepsis via the Ghrelin/E2F1/NF-κB axis. FASEB J. 2021;35(7):e21368.

    Article 
    CAS 
    PubMed 

    Google Scholar 

  • Zhang B, Wang O, Qin J, Liu S, Sun S, Liu H, Kuang J, Jiang G, Zhang W. cis-Acting elements and trans-acting factors in the transcriptional regulation of Raf kinase inhibitory protein expression. PLoS ONE. 2013;8(12):e83097.

    Article 
    PubMed 
    PubMed Central 

    Google Scholar 

  • Biłas R, Szafran K, Hnatuszko-Konka K, Kononowicz AK. Cis-regulatory elements used to control gene expression in plants. Plant Cell, Tissue and Organ Culture (PCTOC). 2016;127:269–87.

    Article 

    Google Scholar 

  • Pignocchi C, Kiddle G, Hernández I, Foster SJ, Asensi A, Taybi T, et al. Ascorbate oxidase-dependent changes in the redox state of the apoplast modulate gene transcript accumulation leading to modified hormone signaling and orchestration of defense processes in tobacco. Plant Physiol. 2006;141(2):423–35.

    Article 
    CAS 
    PubMed 
    PubMed Central 

    Google Scholar 

  • Xu X, Miao X, Deng N, Liang M, Wang L, Jiang L, Zeng S. Identification of ascorbate oxidase genes and their response to cold stress in citrus sinensis. Agriculture. 2024;14(9):1643.

    Article 
    CAS 

    Google Scholar 

  • Madhu, Kaur A, Singh K, Upadhyay SK. Ascorbate oxidases in bread wheat: gene regulatory network, transcripts profiling, and interaction analyses provide insight into their role in plant development and stress response. Plant Growth Regul. 2024;103(1):209–24.

    Article 

    Google Scholar 

  • Skorupa M, Szczepanek J, Yolcu S, Mazur J, Tretyn A, Tyburski J. Characteristic of the ascorbate oxidase gene family in beta vulgaris and analysis of the role of AAO in response to salinity and drought in beet. Int J Mol Sci. 2022;23(21):12773.

    Article 
    CAS 
    PubMed 
    PubMed Central 

    Google Scholar 

  • Bailey TL, Boden M, Buske FA, Frith M, Grant CE, Clementi L, et al. MEME SUITE: tools for motif discovery and searching. Nucleic Acids Res. 2009;37(suppl2):W202-8.

    Article 
    CAS 
    PubMed 
    PubMed Central 

    Google Scholar 

  • Xu G, Guo C, Shan H, Kong H. Divergence of duplicate genes in exon–intron structure. Proc Natl Acad Sci U S A. 2012;109(4):1187–92.

    Article 
    CAS 
    PubMed 
    PubMed Central 

    Google Scholar 

  • Long M, Deutsch M. Intron—exon structures of eukaryotic model organisms. Nucleic Acids Res. 1999;27(15):3219–28.

    Article 
    PubMed 
    PubMed Central 

    Google Scholar 

  • Tian R, Yang Y, Chen M. Genome-wide survey of the amino acid transporter gene family in wheat (Triticum aestivum L.): identification, expression analysis and response to abiotic stress. Int J Biol Macromol. 2020;162:1372–87.

    Article 
    CAS 
    PubMed 

    Google Scholar 

  • Innan H, Kondrashov F. The evolution of gene duplications: classifying and distinguishing between models. Nat Rev Genet. 2010;11(2):97–108.

    Article 
    CAS 
    PubMed 

    Google Scholar 

  • Zhang J. Evolution by gene duplication: an update. Trends Ecol Evol. 2003;18(6):292–8.

    Article 

    Google Scholar 

  • Tang H, Bowers JE, Wang X, Ming R, Alam M, Paterson AH. Synteny and collinearity in plant genomes. Science. 2008;320(5875):486–8.

    Article 
    CAS 
    PubMed 

    Google Scholar 

  • Lynch M, Conery JS. The evolutionary fate and consequences of duplicate genes. Science. 2000;290(5494):1151–5.

    Article 
    CAS 
    PubMed 

    Google Scholar 

  • Wu A, Hao P, Wei H, Sun H, Cheng S, Chen P, et al. Genome-wide identification and characterization of glycosyltransferase family 47 in cotton. Front Genet. 2019;10:824.

    Article 
    CAS 
    PubMed 
    PubMed Central 

    Google Scholar 

  • Ulmasov T, Murfett J, Hagen G, Guilfoyle TJ. Aux/IAA proteins repress expression of reporter genes containing natural and highly active synthetic auxin response elements. Plant Cell. 1997;9(11):1963–71.

    CAS 
    PubMed 
    PubMed Central 

    Google Scholar 

  • Gilmartin PM, Memelink J, Hiratsuka K, Kay SA, Chua N-H. Characterization of a gene encoding a DNA binding protein with specificity for a light-responsive element. Plant Cell. 1992;4(7):839–49.

    CAS 
    PubMed 
    PubMed Central 

    Google Scholar 

  • Tran L-SP, Nakashima K, Sakuma Y, Simpson SD, Fujita Y, Maruyama K, et al. Isolation and functional analysis of Arabidopsis stress-inducible NAC transcription factors that bind to a drought-responsive cis-element in the early responsive to dehydration stress 1 promoter. Plant Cell. 2004;16(9):2481–98.

    Article 
    CAS 
    PubMed 
    PubMed Central 

    Google Scholar 

  • Shu X, Jiang Y, Wen T, Lu S, Yao L, Meng F. Association of hormone replacement therapy with increased risk of meningioma in women: a hospital-based multicenter study with propensity score matching. Asia Pac J Clin Oncol. 2019;15(5):e147-53.

    Article 
    PubMed 

    Google Scholar 

  • Li N, Euring D, Cha JY, Lin Z, Lu M, Huang L-J, Kim WY. Plant hormone-mediated regulation of heat tolerance in response to global climate change. Front Plant Sci. 2021;11:627969.

    Article 
    PubMed 
    PubMed Central 

    Google Scholar 

  • Li H, Guo Y, Lan Z, Xu K, Chang J, Ahammed GJ, et al. Methyl jasmonate mediates melatonin-induced cold tolerance of grafted watermelon plants. Hortic Res. 2021. https://doi.org/10.1038/s41438-021-00496-0.

    Article 
    PubMed 
    PubMed Central 

    Google Scholar 

  • Tong X-m, Zhang S-y, Song T, Xu W-h, Lin X-n, Shu J, et al. Effects of gonadotropin-releasing hormone antagonists on the expression of vascular endothelial growth factor and its receptors in a rat model of ovarian hyperstimulation syndrome. Chin Med J. 2008;121(23):2434–9.

    Article 
    CAS 
    PubMed 

    Google Scholar 

  • Potters G, Pasternak TP, Guisez Y, Palme KJ, Jansen MA. Stress-induced morphogenic responses: growing out of trouble? Trends Plant Sci. 2007;12(3):98–105.

    Article 
    CAS 
    PubMed 

    Google Scholar 

  • Maurel C, Tournaire-Roux C, Verdoucq L, Santoni V. Hormonal and environmental signaling pathways target membrane water transport. Plant Physiol. 2021;187(4):2056–70.

    Article 
    CAS 
    PubMed 
    PubMed Central 

    Google Scholar 

  • Sun Q, Li X, Sun L, Sun M, Xu H, Zhou X. Plant hormones and phenolic acids response to UV-B stress in rhododendron Chrysanthum pall. Biol Direct. 2024;19(1):40.

    Article 
    CAS 
    PubMed 
    PubMed Central 

    Google Scholar 

  • Shuai H, Meng Y, Luo X, Chen F, Zhou W, Dai Y, Qi Y, Du J, Yang F, Liu J. Exogenous auxin represses soybean seed germination through decreasing the gibberellin/abscisic acid (GA/ABA) ratio. Sci Rep. 2017;7(1):12620.

    Article 
    PubMed 
    PubMed Central 

    Google Scholar 

  • Shu K, Qi Y, Chen F, Meng Y, Luo X, Shuai H, et al. Salt stress represses soybean seed germination by negatively regulating GA biosynthesis while positively mediating ABA biosynthesis. Front Plant Sci. 2017;8:1372.

    Article 
    PubMed 
    PubMed Central 

    Google Scholar 

  • Shan T, Gul B, Rafique M, Jabeen A, Gurmani AR, Ortas I. Cereals and phytohormones under UV stress. Sustainable remedies for abiotic stress in cereals. Springer; 2022. pp. 425–41.

  • Hayes S, Velanis CN, Jenkins GI, Franklin KA. UV-B detected by the UVR8 photoreceptor antagonizes auxin signaling and plant shade avoidance. Proc Natl Acad Sci U S A. 2014;111(32):11894–9.

    Article 
    CAS 
    PubMed 
    PubMed Central 

    Google Scholar 

  • Vanhaelewyn L, Van Der Straeten D, De Coninck B, Vandenbussche F. Ultraviolet radiation from a plant perspective: the plant-microorganism context. Front Plant Sci. 2020;11:597642.

    Article 
    PubMed 
    PubMed Central 

    Google Scholar 

  • Escobar Bravo R, Chen G, Grosser K, Van Dam NM, Leiss KA, Klinkhamer PG. Ultraviolet radiation enhances salicylic acid-mediated defense signaling and resistance to Pseudomonas syringae DC3000 in a jasmonic acid-deficient tomato mutant. Plant Signal Behav. 2019;14(4):e1581560.

    Article 
    PubMed 
    PubMed Central 

    Google Scholar 

  • Müller R, Acosta-Motos JR, Großkinsky DK, Hernández JA, Lütken H, Barba-Espin G. UV-B exposure of black Carrot (Daucus Carota ssp. Sativus var. atrorubens) plants promotes growth, accumulation of anthocyanin, and phenolic compounds. Agronomy. 2019;9(6):323.

    Article 

    Google Scholar 

  • Czarnocka W, Karpiński S. Friend or foe? Reactive oxygen species production, scavenging and signaling in plant response to environmental stresses. Free Radic Biol Med. 2018;122:4–20.

    Article 
    CAS 
    PubMed 

    Google Scholar 

  • Tyagi S, Shumayla, Singh SP, Upadhyay SK. Role of superoxide dismutases (SODs) in stress tolerance in plants. Mol Approaches Plant Biology Environ Challenges 2019:51–77.

  • Tyagi S, Shah A, Karthik K, Rathinam M, Rai V, Chaudhary N, Sreevathsa R. Reactive oxygen species in plants: an invincible fulcrum for biotic stress mitigation. Appl Microbiol Biotechnol. 2022;106(18):5945–55.

    CAS 
    PubMed 

    Google Scholar 

  • Karpinska B, Zhang K, Rasool B, Pastok D, Morris J, Verrall SR, et al. The redox state of the apoplast influences the acclimation of photosynthesis and leaf metabolism to changing irradiance. Plant Cell Environ. 2018;41(5):1083–97.

    Article 
    CAS 
    PubMed 

    Google Scholar 

  • Zhu M, Liu Q, Liu F, Zheng L, Bing J, Zhou Y, Gao F. Gene profiling of the ascorbate oxidase family genes under osmotic and cold stress reveals the role of AnAO5 in cold adaptation in ammopiptanthus nanus. Plants. 2023;12(3):677.

    Article 
    CAS 
    PubMed 
    PubMed Central 

    Google Scholar 

  • Messerschmidt A. Multi-copper oxidases. World Scientific; 1997.

  • Yamamoto A, Bhuiyan MNH, Waditee R, Tanaka Y, Esaka M, Oba K, et al. Suppressed expression of the apoplastic ascorbate oxidase gene increases salt tolerance in tobacco and Arabidopsis plants. J Exp Bot. 2005;56(417):1785–96.

    Article 
    CAS 
    PubMed 

    Google Scholar 

  • Sanmartin M, Drogoudi PD, Lyons T, Pateraki I, Barnes J, Kanellis AK. Over-expression of ascorbate oxidase in the Apoplast of Transgenic tobacco results in altered ascorbate and glutathione redox States and increased sensitivity to Ozone. Planta. 2003;216:918–28.

    Article 
    CAS 
    PubMed 

    Google Scholar 

  • Continue Reading

  • Morphological comparison between artificial intelligence-driven and manual CAD design in single tooth restoration: a preliminary study | BMC Oral Health

    Morphological comparison between artificial intelligence-driven and manual CAD design in single tooth restoration: a preliminary study | BMC Oral Health

    Data collecting

    This comparative study received ethical approval from the Institutional Review Board of Zhujiang Hospital, Southern Medical University (Protocol No: 2023-KY-164-01), with written informed consent obtained from all participants….

    Continue Reading

  • Nations invest in renewables to build energy security

    Nations invest in renewables to build energy security

    For more than two centuries, energy has been the beating heart of economic growth.

    Until recently, most of this energy has come from one simple mechanism – burning things. And as we’ve switched from wood to harder-to-access (but more energy-intense) coal, oil and gas, so our economy has come to rely on a sprawling network of pipelines and trade routes.

    This has created some unexpected relationships. In 1997, for instance, just six years after the end of the Cold War, the Nord Stream 1 pipeline was completed, connecting Germany and Russia via the Baltic Sea. At the height of its operation in 2021, Germany was getting 55% of its natural gas from Russia, along with the majority of its coal and oil. At the same time, the wider EU bloc was also buying most of its oil and gas from Russia.1

    Today, as deglobalisation continues and the geopolitical landscape shifts, many of these relationships are fraying. Germany and the EU have slashed their energy imports from Russia, aiming to end them entirely by 20272; meanwhile India has come under pressure from US President Donald Trump to do the same3.

    The question for investors is, what will replace these routes? Are buyers simply finding alternative sellers, or is a deeper shift taking place?

    At Lombard Odier, we believe the world’s energy system is undergoing a profound change. Driven by a desire to achieve domestic security, many governments are seeking not just to re-route their energy purchases, but to build their own home-grown supply. From China to Europe and India to the US, energy independence is increasingly being seen as the best form of defence against a fracturing and unstable geopolitical order.

    Across Europe, renewables are becoming the first line of defence for a bloc determined to bolster its energy resilience

    Renewables – the first line of defence

    45 kilometres off the coast of Ostend, Belgium, a world-first construction is underway. Standing as a fortress against the wind and waves of the North Sea, the artificial Princess Elisabeth Energy Island – due for completion in 2026 – will act as a hub taking electricity generated by offshore windfarms and distributing it to the European mainland. The island will also act as an interconnector for neighbouring countries, enabling Belgium to trade renewable energy.

    In time, it is expected that Princess Elisabeth will be one of multiple energy islands that could eventually connect dozens or even hundreds of North Sea windfarms, which could collectively meet up to 20% of the EU’s entire annual electricity demand by 20504.

    Across Europe, renewables are becoming the first line of defence for a bloc determined to bolster its energy resilience. With huge solar resources in the south (in recent years, Portugal has seen days where its entire electricity demand has been met renewably5) and vast wind potential in the north, the EU already obtains around 45% of its electricity from renewable sources6, and is aiming to achieve the same figure for all forms of energy (by replacing many instances where fossil fuels are currently the end-use form) by 20307.

    Other major economies are taking a similar approach. Over the next five years, India is expected to invest more than USD 340 billion to install enough renewable capacity to meet the electricity needs of every household roughly twice over, making up approximately half of the country’s total electricity generation.8 And in the US, despite President Trump’s pro-oil ‘drill, baby, drill’ rhetoric, further strong renewables growth is expected in 2025, with wind, solar, geothermal and hydropower now making up around 90% of the country’s new electricity capacity added each year.9

    No one is able to match China as the country continues its push to become the world’s first ‘electro-state’ and achieve its stated aim of energy independence

    No one is able to match China, however. Already home to more than 40% of combined global renewables capacity10, China invested a further USD 625 billion in clean energy projects in 2024 alone11, as the country continues its push to become the world’s first ‘electro-state’ and achieve its stated aim of energy independence.

    Critical minerals – the new oil?

    For many in the West, China’s clean energy dominance has created a new dependency problem. Wind turbines, solar panels, batteries and the millions of kilometres of new cabling needed to transition to zero-carbon electricity are reliant on ‘energy metals’ and other critical minerals, such as aluminium, cobalt, lithium, graphite and rare earth elements.

    Today, China is the leading processor of 19 of the 20 most important critical minerals – with an average global refining share of 70%12 – giving President Xi and the Chinese Communist Party a powerful geopolitical weapon. As governments shift away from coal, oil and gas, the risk is that they are merely swapping one dependency for another.

    In response, according to the International Energy Agency’s (IEA) policy tracker, 200 national policy interventions – half ratified in just the last few years – aim to boost domestic critical minerals supply chains13.

    These include US President Donald Trump’s creation of a ‘National Energy Dominance Council’, which will treat critical minerals supply as a national security imperative14; the respective Canadian and Australian Critical Minerals Strategies; and the EU’s Critical Raw Materials Act, which aims to boost supply chain security by ensuring that, by 2030, a minimum of 10% of the critical minerals it needs are mined domestically, at least 40% are processed in the EU, and at least 25% are sourced from recycling.15

    Across the board, metals recycling is set for rapid growth… the size of the market for recycled minerals could rise five-fold to reach USD 200 billion by 2050

    Secure supply chains create new growth opportunity

    This global push is accelerating the permitting process for new mines – it is also fostering new innovations aimed at minimising reliance on overseas supply.

    For example, New Zealand start-up Mint Innovation’s bio-based recycling process uses bacteria to extract target metals from electronic waste and requires just a fraction of the energy needed by traditional recycling methods – a recent partnership with Jaguar Land Rover to recover lithium, nickel and cobalt from used electric vehicle (EV) batteries has received funding from the UK government16. In Europe, Germany’s BRAIN Biotech and the EU’s Horizon-funded BioRecover project17 are working on bringing similar solutions to scale.

    Across the board, metals recycling is set for rapid growth. As demand for critical minerals rises, the International Energy Agency forecasts that the size of the market for recycled minerals could rise five-fold to reach USD 200 billion by 2050, cutting the need for new mining activity for some minerals by as much as 40%.18

    Read also: The rise of metals recycling in the energy transition

    Efforts are also being made to sidestep critical minerals altogether, especially in the manufacture of batteries, which have become essential for the grid-scale storage needed to support renewables projects and EV uptake.

    Today’s batteries are made using lithium and other single-source-dominated minerals. In April 2024, however, US-based Natron Energy, which has received significant support from federal funds, cut the ribbon on the US’s first-ever commercial-scale sodium-ion battery factory, which employs an entirely domestic supply chain and avoids the need for any hard-to-obtain critical minerals. (Natron’s growth is so rapid that the firm has already announced the site for a new USD 1.4 billion ‘giga-factory’, which will increase its manufacturing capacity 40-fold.)19

    Swedish firm Altris is also developing sodium-ion batteries, with investment support from major names including Maersk Growth and Volvo.20 Like Natron, Altris’s batteries can be made from an exclusively domestic supply chain, and are largely reliant on abundant materials such as iron, salt, and even wood21. BloombergNEF forecasts that sodium-ion batteries will represent 15% of the energy storage market by 2035, up from 1% today.22

    As the world’s biggest powers invest in national energy resilience, they are building new export markets that will come to replace today’s fossil fuel networks

    Domestic security – global potential

    As global tensions mount, and multipolar dynamics deepen, it’s easy for investors to imagine a world in which nations are ‘hunkering down’ and investment opportunities diminishing.

    At Lombard Odier, we believe this is to miss the bigger picture. We understand that the changing world order simply means a reshaping of where opportunities are to be found, and that as governments take measures to secure strategic industries we will see a tidal wave of new investment from both the public and private sectors.

    As the world’s biggest powers invest in national energy resilience, they are building new export markets that will replace today’s fossil fuel networks. Incumbent oil exporters will see revenues fall, while winners will emerge from those offering the solutions that help nations bolster their renewable supply.

    The opportunities will be many and varied – new battery technologies, metals recycling, the export of renewably-generated electricity, and high-voltage-direct-current electricity cabling (of which European companies are the world’s leading manufacturers). Domestic energy security will create global potential.

    When Belgium’s Princess Elisabeth energy island is complete, standing lonely but unbowed amid the storms of the North Sea, it will be a powerful symbol of renewables’ new role on the frontline as nations invest to build energy security.

    Continue Reading