Blog

  • Enhancing mass transfer in RO membranes powered by tidal energy using static mixers: a CFD study

    Enhancing mass transfer in RO membranes powered by tidal energy using static mixers: a CFD study

    Model verification and validation

    Figure 4(a) illustrates the mesh domain of the present CFD model. This system uses an unstructured mesh due to the existence of KSM in the RO. For mesh independence analysis, Fig. 4(b) illustrates the mass transfer coefficient as a function of the number of elements. According to the results, after 300,000 elements, the variation in the mass transfer coefficient is not significant; thus, this mesh is used for calculations.

    For validation of mass transfer in the RO, Fig. 4(c) presents a comparison of mass transfer from this study and the study by Li et al.26 as a function of inlet velocity. The inlet concentration of salt in the RO is 13 mol/m2, and the feed pressure is 13.6 bar. According to the results, the average relative error between the present model and the data from Li et al. is less than 5%, indicating good agreement.

    To the best of our knowledge, no previous study has investigated RO with KSM. Therefore, to validate the flow characteristics of an RO system with a spacer, the present study utilizes the data from Kavianipour et al.19, who examined a submerged spacer in an RO system. Figure 4(d) presents a comparison of the pressure drop between the current study and the data reported by Kavianipour et al. across different Reynolds numbers. The results indicate that the average relative error between the present model and the data from Kavianipour et al. is less than 2%, demonstrating strong agreement.

    Fig. 4

    Mesh analyzing: (a) The mesh domain of the present CFD model, (b) Mass transfer coefficient, (c) A comparison of mass transfer from this study and the study by Li et al.26, (d) A comparison of the pressure drops between the current study and the data reported by Kavianipour et al.19.

    Concentration and velocity distribution of RO and kenics static mixers (ROKSM)

    Figure 5 illustrates the velocity and concentration distributions in the RO feed channel at Re = 300. The subfigures are: (a) velocity distribution in ROKSM, showing enhanced mixing due to helical elements; (b) velocity distribution in standard RO, with more laminar flow and boundary layer buildup; (c) concentration distribution in ROKSM, demonstrating reduced wall concentration (indicating lower CP); and (d) concentration distribution in standard RO, with higher wall concentration and pronounced CP layer. These profiles confirm that KSM disrupts the boundary layer, reducing CP factor (CPF) from 1.038 in standard RO to 1.015 in ROKSM, leading to improved mass transfer.

    In the velocity distributions (Fig. 3a and b), the ROKSM process (Fig. 5a) exhibits a more complex and varied color pattern, indicating enhanced mixing induced by the KSM elements. The static mixers disrupt the laminar flow, creating regions of higher velocity and turbulence, which are absent in the standard RO process (Fig. 5(b)). In Fig. 5(b), the standard RO shows a predominantly uniform blue-green pattern, suggesting a more consistent but lower velocity profile, typical of laminar flow without mixing elements. This contrast highlights KSM’s role in promoting a more dynamic flow, which can reduce stagnant zones and enhance mass transfer.

    The concentration distributions (Figs. 5(c) and 5(d)) further elucidate the effect of KSM on solute behavior. In the ROKSM process (Fig. 5(c)), the concentration varies between 13 and 16 mol/m³, with a more uniform distribution across the channel, indicating effective mixing that mitigates solute accumulation near the membrane surface. The presence of KSM elements disrupts the concentration boundary layer, preventing the pronounced red zones (higher concentrations) seen in the standard RO process (Fig. 5(d)), where concentrations reach up to 16 mol/m³ near the outlet. The standard RO shows a clear gradient, with increasing concentration along the flow path, reflecting severe concentration polarization due to the lack of mixing. This qualitative difference supports of reduction in concentration polarization with ROKSM, as the uniform concentration profile reduces the risk of fouling and enhances membrane performance.

    Fig. 5
    figure 5

    (a) Velocity distribution in ROKSM; (b) Velocity in standard RO; (c) Concentration distribution in ROKSM (lower wall CP); (d) Concentration in standard RO (higher wall CP).

    As mentioned, Fig. 5 shows velocity distributions in (a) ROKSM and (b) standard RO, and concentration distributions in (c) ROKSM and (d) standard RO, confirming reduced CP in ROKSM.

    Effect of Reynold number and row of KSM

    Figure 6 compares the Sherwood number, pressure drop, and concentration distribution for different Reynolds numbers (Re) and the number of rows of the KSM. Figure 6(a) shows that the Sherwood number increases with an increase in the Reynolds number. The condition with three rows of KSM showed the highest Sherwood number, indicating better mass transfer performance compared to one row of KSM and without KSM. According to Fig. 6(a), the Sherwood number (Sh) is significantly higher in the ROKSM system compared to the standard RO process, especially with three rows of KSM. At Re = 300, the Sherwood number for ROKSM with three rows is approximately 1.6 times of the standard RO process. Even with one row of KSM, the Sherwood number is 1.3 times of the standard RO process. Figure 6(a) shows that the ROKSM system enhances mass transfer efficiency by up to significantly compared to the standard RO process, with three rows of KSM providing the best performance. Figure 6(b) represents that the pressure drop increased with an increase in the Reynolds number. The condition with three rows of KSM showed the highest pressure drop, indicating higher resistance to flow compared to one row of KSM and without KSM. At Re = 300, the pressure drop for ROKSM with three rows is approximately 4.7 times of the standard RO process. With one row of KSM, the pressure drop is 1.5 times of the standard RO process. While ROKSM improves mass transfer, it increases the pressure drop which is a trade-off that must be managed. Figure 6(c) depicts the concentration profile along the RO system enhanced with KSM (ROKSM) at Re of 100, 200, and 300, while Fig. 6(d) shows the same for a standard RO system without KSM.

    The main findings underscore the effectiveness of KSM in improving RO performance. ROKSM reduces concentration polarization as evidenced by the lower outlet concentration. Higher Re values improve mixing in ROKSM, smoothing the concentration profile and reducing peaks, while in standard RO, they exacerbate polarization due to the lack of mixing. However, this comes with a higher pressure drop, a trade-off that requires further optimization. The lower osmotic pressure in ROKSM enhances the net driving force for water flux.

    Fig. 6
    figure 6

    Representing the relationship between: (a) the Sh number and the Reynolds number, (b) the pressure drops and the Reynolds number, and (c) and (d) the concentration along the length of the system with different Reynolds numbers.

    The incorporation of KSM in the ROKSM configuration enhances mass transfer by disrupting the laminar flow typical of standard RO systems, as evidenced by the complex velocity patterns in Fig. 5(a). This disruption creates localized turbulence, which reduces the concentration boundary layer near the membrane surface, lowering concentration polarization and increasing the Sherwood number to (Fig. 6(a)). However, the KSM’s twisted geometry increases flow resistance, leading to a pressure drop approximately 4.7 times higher than that of standard RO at Re = 300 (Fig. 6(b)). This trade-off arises because the enhanced mixing requires additional energy to overcome the increased frictional losses within the feed channel. The 30-degree twist angle optimizes mixing by maximizing flow disruption, but it also results in the highest pressure drop, necessitating a careful balance between mass transfer gains and energy costs.

    The ROKSM system increases water flux by 23%, from 13 L/m2 h for standard RO to 16 L/m²h at Re = 300, driven by reduced concentration polarization due to enhanced mixing by Kenics static mixers. The CFD model (Sect. 4) shows this through concentration profiles, with ROKSM exhibiting a uniform distribution ranging from 13 to 16 mol/m³, compared to standard RO’s pronounced gradient reaching 22 mol/m2 at the outlet wall. The outlet wall concentration is 13.5 mol/m³ for ROKSM and 16 mol/m2 for standard RO, with a bulk concentration of 13 mol/m2 (Table 3).

    This reduction in wall concentration lowers the osmotic pressure, which, per Eq. (1), increases water flux. The hydraulic permeability is 2.74 m/h/bar, and the feed pressure is assumed at 60 bar, with a permeate pressure of 1 bar. The salt diffusion coefficient is 1.6 × 10–3m²/s, and the channel height is 1 mm (Table 3). The Sherwood number for ROKSM is 13.6, compared to 8.5 for standard RO, indicating enhanced mass transfer that reduces solute buildup at the membrane surface. The CFD model, validated with less than 5% error, confirms that ROKSM’s higher Sherwood number and lower wall concentration directly contribute to the 23% flux increase, as visualized in Fig. 5(c) compared to Fig. 5(d).

    Investigating the impact of the angle of KSM

    Sherwood number is an indicator of mass transfer performance. Higher Sherwood numbers represent better mass transfer efficiency. According to Fig. 7(a), the Sherwood number increased with the Reynolds number for all conditions. The KSM at a 30-degree angle showed the highest Sherwood number, indicating the best mass transfer efficiency. The KSM at a 90-degree angle showed a lower Sherwood number compared to the 30-degree angle but still higher than without KSM.

    Figure 7(b) shows that the pressure drop increased with the Reynolds number for all conditions. The KSM at a 30-degree angle showed the highest pressure drop, indicating the greatest resistance to flow. The KSM at a 90-degree angle represented a lower pressure drop compared to the 30-degree angle but higher than without KSM.

    Figure 7 shows that the KSM at a 30-degree angle provides the best mass transfer efficiency, as indicated by the highest Sherwood number. This suggests that the 30-degree angle is more effective at promoting mixing and enhancing mass transfer. In terms of flow resistance, the KSM at a 30-degree angle also results in the highest pressure drop, indicating increased resistance to flow. This is a trade-off that must be considered when optimizing the process.

    The angle of the KSM has a significant impact on both mass transfer efficiency and flow resistance. While a 30-degree angle provides the best mass transfer, it also increases the pressure drop. Therefore, the angle should be optimized based on the specific requirements of the process, balancing mass transfer efficiency and flow resistance. Overall, the analysis highlights the importance of the angle of the KSM in optimizing the RO process. Adjusting the angle can significantly impact the performance, and careful consideration is needed to achieve the desired balance between efficiency and resistance. Figure 8 represents the velocity and concentration distribution for different 30- and 90-degrees positions of the mixers.

    Fig. 7
    figure 7

    Relationships between: (a) Sh number and Reynolds number, and (b) pressure drop and Reynolds number, in a standard RO system and ROKSM with different angles.

    Fig. 8
    figure 8

    Representing the velocity and concentration for two different 30- and 90-degree positions of the mixer.

    Integration of tidal energy with ROKSM desalination

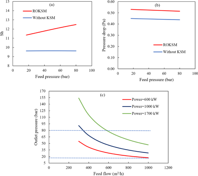
    In this section, the effect of integrating ROKSM with tidal energy is investigated (ROTE-KSM). First, the range of power that can be harnessed from tidal energy is determined. This power is then utilized to drive a feed pump. The outlet pressure of the pump is considered the feed flow pressure, which is then supplied to the ROTE-KSM system. Table 4 represents the several tidal stream generator sites according to their capacity and scale. Figure 6 illustrates the outlet pressure of the pump as a function of different tidal power sites, considering a flow rate range between 300 and 1000 m³/h. This figure is generated using Aspen Plus V12.

    As expected, an increase in flow rate results in a decrease in outlet pressure. For a power input of 600 kW, the outlet pressure ranges between 55 and 17 bar. At 1000 kW, the pressure varies from 91 to 28 bar, while for 1700 kPa, it ranges between 153 and 46 bar. In all three cases, the generated pressure is sufficient for RO applications. However, it is important to note that RO membranes have an upper-pressure limit due to structural constraints. With this renewable energy source, the primary concern is the minimum pressure required to effectively utilize tidal energy for pressure generation and overcome the osmotic pressure of the feed flow. Some studies consider the maximum feed pressure to be below 80 bar. Therefore, in this study, we investigate feed pressures ranging between 17 and 80 bar, which falls within the pressure range available from tidal power. The minimum and maximum pressures within this range are presented in Fig. 9.

    Table 4 Different worldwide tidal stream generator sites.
    Fig. 9
    figure 9

    (a) Effect of feed pressure on Sherwood number for both RO and ROKSM systems, (b) effect of feed pressure on pressure drop for RO and ROKSM systems, and (c) effect of feed flow rate on outlet pressure at different pump powers.

    To clarify the integration of tidal energy with the ROKSM system, we define an operating condition for the primary CFD analysis at Re = 300, where key results are reported (Sherwood number of 13.6, 23% flux increase from 13 to 16 m/h). For a 10,000 m2/day (3.65 million m³/year) desalination plant, we select a feed flow rate of 500 m2/h (within 300–1000 m2/h, Sect. 5.4) and a feed pressure of 60 bar (within 17–80 bar, Table 3), typical for seawater RO with an inlet salinity of 13 mol/m2 (Table 3). The ROKSM system’s 4.7-fold higher pressure drop (Fig. 4b) requires a total pressure of ~ 63.5 bar (60 bar feed + 3.5 bar drop), compared to ~ 61 bar for standard RO (60 bar + 1 bar drop). The pump power (P), calculated as:

    $$:P=frac{Q.varDelta:P}{eta:}$$

    (12)

    With flow of Q = 500 m3/h (0.1389 m2/s) and efficiency of η = 0.85, is ~ 1000 kW for ROKSM and ~ 990 kW for standard RO, well within the 600–1700 kW provided by tidal power sites (Table 4), as shown in Fig. 6c.

    The table below summarizes operational process parameters for the feed, permeate, and brine streams in both systems at Re = 300, providing insight into the desalination process. Inlet and outlet pressures, temperatures, and flow rates are based on the CFD model, with permeate pressure assumed at 1 bar (ambient) and temperature at 25 °C (isothermal model). The brine flow rate is estimated assuming a 40% recovery ratio (typical for seawater RO), where permeate flow is 40% of the feed flow, and brine flow is the remainder.

    Table 6 Operational information of the plant.

    The ROTE-KSM system integrates tidal energy with the KSM-enhanced RO process to achieve a sustainable and efficient desalination solution. The CFD-based analysis evaluates the mass transfer performance of the ROKSM system across a range of feed pressures (17–80 bar), which aligns with the pressure output from tidal stream generators (Table 4; Fig. 6). This range accounts for the time-dependent nature of tidal energy, which varies with tidal cycles approximately every 12 h22,23. To address the reviewer’s concern about the unrealistic operation of RO at varying pressures, we incorporate energy storage and pressure regulation mechanisms to ensure stable RO operation.

    Tidal stream generators harness kinetic energy from tidal currents, producing power outputs ranging from 600 to 1700 kW at sites such as Bluemull Sound (Scotland), Uldolmok (South Korea), and Zhejiang (China) (Table 4). Using Aspen Plus V12, we modeled the outlet pressure of the feed pump as a function of flow rate (300–1000 m³/h), yielding pressures of 17–153 bar (Fig. 6). To mitigate the variability in tidal energy output, the system employs energy storage solutions, such as batteries or pumped storage hydropower, to store excess energy during peak tidal flows and release it during low tides. Additionally, variable frequency drives (VFDs) on high-pressure pumps regulate feed pressure to maintain optimal RO performance, ensuring that pressures remain within the operational range of 50–80 bar required for seawater desalination. This approach ensures consistent operation despite tidal fluctuations.

    The CFD model evaluates the ROKSM system’s performance across a range of feed pressures (17–80 bar) to account for potential variations in tidal energy supply. The model assumes a feed pressure of 60 bar as a baseline (Sect. 5.3), with a hydraulic permeability of 2.74 L/m²h/bar and a salt diffusion coefficient of 1.6 × 10⁻⁹ m²/s (Table 3). The results show that the ROKSM configuration with three rows of KSM at a 30° twist angle achieves a Sherwood number of 13.6 and a 23% increase in water flux (from 13 to 16 L/m²h) at Re = 300, even under varying feed pressures (Fig. 6). The model’s robustness across this pressure range demonstrates the system’s adaptability to tidal energy fluctuations, ensuring reliable performance.

    By combining tidal energy with KSM, the ROTE-KSM system achieves a 1.6-fold increase in the Sherwood number (from 8.5 to 13.6) and a 23% increase in water flux, reducing concentration polarization (Sect. 5.6). The use of renewable tidal energy eliminates reliance on grid electricity, lowering carbon emissions to 2.4 kg/m³ (Sect. 5.6). The higher pressure drop in ROKSM (4.7 times that of standard RO at Re = 300, Fig. 4b) is mitigated by Energy Recovery Devices (ERDs), which recover up to 95% of the energy from the high-pressure brine stream (Sect. 2.2), resulting in a net specific energy consumption (SEC) of 2.2–2.5 kWh/m³, comparable to or lower than standard RO (2.5–3 kWh/m³). The integration of energy storage and pressure regulation ensures that the system maintains optimal performance, making tidal energy a practical and sustainable power source for RO desalination.

    Energy trade-off analysis for ROKSM system

    The integration of KSM in the ROKSM configuration enhances mass transfer, achieving a 1.6-fold increase in the Sherwood number and a 23% increase in water flux (from 13 to 16 m/h), as shown in Fig. 6(a). However, this improvement incurs a higher pressure drop, with ROKSM with three rows exhibiting a pressure drop 4.7 times that of standard RO at Re = 300 (Fig. 6b). To evaluate the sustainability of the ROKSM system, the energy penalty of the increased pressure drop against the energy savings from improved water flux was analyzed.

    The energy required by the feed pumps is proportional to the pressure drop and flow rate. For ROKSM with three rows, the 4.7-fold increase in pressure drop translates to an estimated additional energy demand of around 0.5–1 kWh/m³ compared to standard RO (according to try and error experience of real plants), assuming a baseline specific energy consumption (SEC) of 2.5 kWh/m³ for seawater RO. However, the 23% increase in water flux reduces the volume of water that must be processed to achieve the same freshwater output, lowering the effective SEC by approximately 0.4–0.6 kWh/m³. Additionally, the use of Energy Recovery Devices (ERDs), which recover up to 95% of the energy from the high-pressure brine stream, further mitigates the energy penalty30.

    When powered by tidal energy (600–1700 kW, Table 4), the ROKSM system leverages a renewable energy source with a low operational cost and reduced carbon emissions (2.49 kg/m³)31. Preliminary calculations indicate that the net SEC for ROKSM remains comparable to or lower than that of standard RO (2–2.5 kWh/m³ vs. 2.5–3 kWh/m³), ensuring net energy savings. The integration with tidal energy eliminates reliance on grid electricity, enhancing the system’s sustainability. To optimize this trade-off, future work will explore intermediate KSM configurations (two rows or adjusted twist angles) to balance mass transfer efficiency and pressure drop, ensuring maximum energy efficiency for scalable applications.

    While Sh increases 1.6-fold, the 4.7-fold ΔP imposes a significant energy penalty. Frictional losses in the feed channel (~ 20% of ΔP) are unrecoverable by ERDs, which only reclaim brine energy (efficiency 95%32. Net SEC rises by ~ 1.2 kWh/m2, tempering flux gains to 15% effective according to Eq. (13):

    $${text{SEC}}_{{{text{net}}}} = {text{ }}left( {Delta {text{P}}_{{{text{feed}}}} /{text{ }}eta _{{{text{pump}}}} } right){text{ }} + {text{ SEC}}_{{{text{other}}}} – {text{ }}left( {Delta {text{P}}_{{{text{brine}}}} *{text{ }}eta _{{{text{ERD}}}} } right)~~~~$$

    (13)

    This highlights the need for optimized KSM designs to balance benefits.

    Economic assessment of ROKSM system

    To evaluate the economic viability of the ROKSM system, we estimate the Levelized Cost of Water (LCOW), calculated by Eq. 4, for a 10,000 m³/day plant and compare it to a conventional RO system33. The ROKSM system achieves a 23% higher water flux (16 m/h vs. 13 m/h), reducing the required membrane area by 18.75% (from 32,051 m² to 26,042 m²). This lowers capital costs for membrane modules, despite higher costs for tidal energy infrastructure and pumps to handle the 4.7-fold pressure drop increase (Fig. 6b).

    $$:LCOWleft(frac{USD}{{m}^{3}}right)=frac{Total:Annualized:Cost:(USD/year)}{Annual:Water:Production:({m}^{3}/year)}$$

    (14)

    where Total Annualized Cost includes annualized capital expenditure (CapEx) and operational expenditure (OpEx).

    ROKSM achieves 16 m/h vs. 13 m/h for standard RO (23% increase). Additionally, a specific energy consumption (SEC) of 2–3 kWh/m³ for standard RO was estimated in the previous section. For ROKSM, the 4.7-fold pressure drop increase (Fig. 6b) adds ~ 0.5–1 kWh/m³, but the 23% flux increase and ERDs (95% recovery) yield an estimated SEC of 2–2.5 kWh/m³. for operational cost, ROKSM’s cost is around 0.5582 $/m³, likely including tidal energy’s lower cost compared to grid electricity (~ 0.1–0.15 $/kWh for grid vs. ~0.05 $/kWh for tidal, assumed based on renewable energy trends).

    In terms of plant capacity, a medium-scale RO plant producing 10,000 m³/day (3.65 million m³/year) was assumed, typical for seawater desalination (aligned with flow rates of 300–1000 m³/h)34. For membrane Area, the 23% flux increase reduces the required membrane area for ROKSM. For standard RO at 13 m/h, producing 10,000 m³/day requires an area of:

    $$:{Area}_{standard}=frac{10000raisebox{1ex}{${m}^{3}$}!left/:!raisebox{-1ex}{$day$}right.}{13:m/h.24:h/day:}=32051:{m}^{2}$$

    (15)

    For ROKSM at 16 m/h:

    $$:{Area}_{ROKSM}=frac{10000}{16.24:}=26042:{m}^{2}$$

    (16)

    This is a 18.75% reduction in membrane area.

    For calculating the Capital Costs (CapEx) for standard and the proposed ROKSM models35, for standard RO:

    • Membrane modules: ~$50/m² × 32,051 m² = $1.6 million (based on typical RO membrane costs).

    • Pumps: ~$2 million for a 10,000 m³/day plant (industry estimate).

    • Other infrastructure (piping, pretreatment): ~$3 million.

    • Total CapEx: ~$6.6 million.

    • Annualized CapEx (20-year lifetime, 5% discount rate):

    $$:Annualized:CapEx=CapEx.frac{r{(1+r)}^{n}}{{(1+r)}^{n}-1}=530000:$/year$$

    (17)

    And for ROKSM:

    • Membrane modules: $50/m2 × 26,042 m2 = $1.3 million (18.75% less due to higher flux).

    • Pumps and ERDs: ~$2.2 million (higher due to increased pressure drop).

    • Tidal energy infrastructure: ~$1.5 million (additional cost for tidal generators).

    • Other infrastructure: ~$3 million.

    • Total CapEx: ~$8 million.

    Thus:

    $$:Annualized:CapEx=642000:$/year$$

    And in terms of operational costs (OpEx) for both models, for standard RO35:

    • Energy: SEC = 2.5 kWh/m³ × 3.65 × 106 m³/year × 0.12 $/kWh (grid electricity) = 1.095 million $/year.

    • Maintenance (2% of CapEx): 0.02 × 6.6 million $= 132,000 $/year.

    • Membrane replacement (5-year lifespan, 20% of membrane cost/year): 0.2 × 1.6 million $= 320,000 $/year.

    • Total OpEx: $1.095 M + $132,000 + $320,000 = ~$1.547 million/year.

    And for ROKSM:

    • Energy: SEC = 2.25 kWh/m2× 3.65 × 106 m³/year × 0.05 $/kWh (tidal energy) = 410,625 $/year.

    • Maintenance: 0.02 × $8 million = 160,000 $/year.

    • Membrane replacement: 0.2 × 1.3 million $= 260,000 $/year.

    • Total OpEx: 410,625 $+ 160,000 $+ 260,000 $= 830,625 $/year.

    In terms of LCOW Calculation for the standard RO and the ROKSM models:

    $$:{LCOW}_{standard}=frac{Annualized:CapEx+OpEx}{Annual:Production}=frac{530000+1547000}{3.65times:{10}^{6}}=0.568:$/{m}^{3}$$

    (18)

    And for ROKSM:

    $$:{LCOW}_{ROKSM}=frac{Annualized:CapEx+OpEx}{Annual:Production}=0.403:$/{m}^{3}$$

    (19)

    Through carry over a comparison, ROKSM’s LCOW (0.403 $/m³) is ~ 29% lower than standard RO’s (0.568 $/m³), driven by lower energy costs (tidal vs. grid) and reduced membrane area, despite higher CapEx from tidal infrastructure and pressure drop. Table 5 represents the above results.

    Table 5 Economic analysis between standard RO and the proposed ROKSM model.

    According to the costs sourced from IRENA36, Tidal CapEx $3-5 M/MW, OpEx 2–3% annually and Battery storage $250–350/kWh24. In terms of sensitivity analysis (Monte Carlo, 1000 runs), LCOW varies 0.45–0.65 $/m2 with ± 20% on energy/storage costs and tidal variability (sinusoidal cycles). Base LCOW 0.52 $/m2 18% lower than standard RO (0.63 $/m³), but rises to 0.65 $/m2 with high intermittency.

    Continue Reading

  • Indian vs Singapore football match ends in 1-1 draw

    Indian vs Singapore football match ends in 1-1 draw

    The Singapore forward, who was a thorn in the side of the Indian defence throughout the opening period, combined neatly with Shawal Anuar before slotting home and handing Singapore a 1-0 lead at the break.

    Things went from bad to worse just after…

    Continue Reading

  • What’s going on with Justin Bieber and his mom?

    What’s going on with Justin Bieber and his mom?

    Sounds like Justin Bieber’s mom doesn’t have to worry about him.

    The pop star’s mother Pattie Mallette, recently posted a series of photos on social media of Bieber. In it, he is…

    Continue Reading

  • China expands rare earth restrictions, targets defence, semiconductor users – Reuters

    1. China expands rare earth restrictions, targets defence, semiconductor users  Reuters
    2. China tightens export rules for crucial rare earths  BBC
    3. Xi reignites tensions ahead of Trump meeting with dramatic curbs on critical rare-earths  CNN
    4. China seeks India’s assurance on no heavy rare earths diversion to US  The Economic Times
    5. China Tightens Grip on Rare Earths Ahead of Expected Trump-Xi Meeting  The Wall Street Journal

    Continue Reading

  • KLM shares expertise in simulator training to strengthen the healthcare sector

    KLM shares expertise in simulator training to strengthen the healthcare sector

    Yesterday, KLM welcomed the Technology Expert Panel of DUTCH (Digital United Training Concepts for Healthcare) to its simulator center at Schiphol-East. The panel members were given a tour and had the opportunity to experience a flight simulation themselves. By sharing its knowledge of simulation training, KLM aims to support the advancement of the healthcare sector while also contributing to ensuring a sufficient number of well-trained healthcare professionals in the Netherlands.

    The healthcare sector is in need of many new professionals. Currently, training takes place entirely in practice. The use of simulation can make the education of healthcare professionals more effective and efficient. DUTCH is a program supported by the National Growth Fund that focuses on innovating the way healthcare professionals are trained. It is a collaboration between hospitals, educational institutions, and the business community, including Erasmus MC and the Ministry of Defence.

    ';

    Continue Reading

  • TCS Acquires US-based ListEngage; Boosts Salesforce Practice and Agentic AI Capabilities

    TCS Acquires US-based ListEngage; Boosts Salesforce Practice and Agentic AI Capabilities

    With this 100% stake acquisition, TCS expands its local workforce in the United States and strengthens Salesforce and marketing cloud technology capabilities.

    PRESS RELEASE

    FRAMINGHAM, MA | MUMBAI, IN, October 09, 2025: Tata Consultancy Services (TCS) (BSE: 532540, NSE: TCS), a global leader in IT services, consulting, and business solutions, has acquired 100% stake in ListEngage, a leading Salesforce Summit partner.

    ListEngage is a full stack Salesforce partner that specialises in Marketing Cloud, CRM, Data Cloud, Agentforce, and AI advisory services for enterprises. This strategic acquisition strengthens TCS’ Salesforce capabilities, adding specialisations across the full range of Salesforce marketing tools. 

    Through this strategic investment, TCS adds over 100 experienced professionals with over 400 Salesforce certifications to its Enterprise Solutions unit in the United States. The acquisition reflects TCS’ renewed emphasis on inorganic growth, supporting its strategic priorities in high-potential areas such as AI, Cloud, Cybersecurity, Digital Engineering and Enterprise Solutions.

    Aarthi Subramanian, Chief Operating Officer, Tata Consultancy Services, said, “This US-based acquisition is an important step in scaling our Salesforce capabilities globally. ListEngage’s AI advisory services, Marketing Cloud capabilities and Agentforce expertise will enhance our offerings and execution to serve the needs of marketing stakeholders in enterprises. This acquisition will further deepen the strategic partnership that TCS has with Salesforce. We welcome ListEngage’s talented team to TCS.”

    Altaf Shaikh, CEO, ListEngage, said, “This is more than an acquisition – it’s a growth platform. By joining forces with TCS, we’re combining ListEngage’s deep Salesforce expertise and proven client success with TCS’ scale, global reach, and cross-industry depth. Together, we will set a new benchmark for how enterprises unlock the full value of Salesforce, powered by data, AI, and cloud innovation. I’m particularly excited about the AI opportunities ahead. Both TCS and ListEngage are leading the way in applied AI, and this partnership allows us to bring the next generation of intelligent, personalised, and outcome-driven solutions to the Salesforce ecosystem at a global scale.”

    Headquartered in Framingham, Massachusetts, ListEngage, is a member of the Salesforce Partner Advisory Boards for Agentforce, Marketing Cloud, and Data Cloud, reflecting its deep relationship with Salesforce and direct access to key product teams. Founded in 2003, ListEngage has built a strong reputation for delivering superior personalised marketing engagements across the entire customer lifecycle.

    Vikram Karakoti, Global Head, Enterprise Solutions, Tata Consultancy Services, “ListEngage complements TCS’ existing capabilities in customer experience and digital transformation. With this new team, and ListEnage’s strong market coverage, we expect to scale delivery and unlock new efficiencies through our global delivery model. TCS remains fully committed to supporting existing customers, ensuring continuity and excellence in service delivery.”

    This reinforces TCS’ commitment to its customers in the United States of America and Canada, which is the largest market for the organisation globally. In over 50 years of operations in the region, TCS has built a reputation as a reliable partner that helps enterprises seize future opportunities today. The latest acquisition is a step forward in that direction.

    Continue Reading

  • ‘Mad Max’ Director George Miller Provides Surprising Stance on AI: “Here To Stay”

    ‘Mad Max’ Director George Miller Provides Surprising Stance on AI: “Here To Stay”

    While the film industry continues to reckon with the emergence of generative artificial intelligence, one visionary filmmaker has decided to back the controversial technology. The director behind the Mad Max franchise, George Miller, has revealed…

    Continue Reading

  • Peter Jackson’s fireside chat with Hope King at G2E 2025

    Peter Jackson’s fireside chat with Hope King at G2E 2025

    Inside the C-Suite: Gaming’s Future in Focus 


    At G2E 2025, Peter Jackson, CEO of Flutter Entertainment, joined journalist Hope King for an engaging, in-depth fireside chat, delving into Flutter’s global growth, shifting consumer behaviors, the future of sports betting, and why responsible gaming is more than just a talking point for the industry’s biggest player.

    Hope: Since becoming CEO in 2018, you’ve led at least eight major deals. Why is scale so important to Flutter’s strategy?

    Peter: We’re focused on being #1 in the U.S. and having “gold medal” positions globally. Like other digital industries, we believe scale is very important, but diversification matters too. What’s key for us is being nimble. We operate on a federal basis, so leaders have full control of their businesses but can draw on Flutter’s global capabilities when needed.

    Hope: Flutter is the #1 gaming operator in the world and you’re expanding fast, in places like Italy, Brazil, and Southern Europe & Africa. How much more of the world is left for Flutter to conquer?

    Peter: We’re delighted with our position in the U.S. as the #1 sports betting and gaming business. But it’s important to remember that the international market is even bigger. By 2030, we estimate the global addressable market will be nearly $300 billion. That’s why we’re very focused on maintaining our leading positions in markets like the UK, Italy, and Australia. Our international experience actually strengthens our U.S. business – through the Flutter Edge we share technology, expertise, and best practices across regions.

    Hope: From your global vantage point, what are you learning in more mature markets like Italy or Australia? And how does that inform your approach in emerging ones?

    Peter: We’re always learning from new markets, especially when we acquire businesses. Often, we find product ideas or technologies we can bring elsewhere. Responsible gaming is one area where we’re determined to lead. For example, our Real-Time Check-In tool (RTCI) in the U.S. is based on a solution we developed in Australia. It’s about creating a race to the top when it comes to consumer protection.


    Hope: You’re now listed on the New York Stock Exchange. How has that helped?

    Peter: We’ve definitely seen a step up in liquidity since the U.S. listing, which is great for our investors. I’m meeting many of them over the course of today and tomorrow here at G2E.  It’s a very efficient way of getting to see a lot of shareholders.

    Hope: Let’s talk about FanDuel. You’ve raised your outlook and that’s despite what we’re hearing about consumers feeling less rosy about the economy. Where does sports betting or online gaming fall in the spectrum of consumer spending? 

    Peter: Our experience from operating around the world is that sports betting and online gaming is actually very defensive. People might trade down and watch games at home instead of going to bars, but they still want to get their parlay on and have that excitement of seeing whether they can guess what’s going to happen in the game.

    Ultimately, we believe that our core business is very defensive. We’ve got good tailwinds from a growth perspective and we’re still in the early days of growth in the industry.

    Hope: One big future-facing move is your partnership with CME Group that you announced this summer. Can you explain the origin and intent behind the deal, especially given that sports events aren’t currently included? Why did you pick CME Group? Why did they pick you?

    Peter: We are reasonably familiar with this space. We operate the Betfair Exchange – our peer-to-peer platform – in many markets around the world. It has a lot of similar characteristics to the way in which we’re seeing prediction markets unfold here in the States. So we were obviously very thoughtful in terms of where the regulations are going, and when I met with Terry and the team, it was a very like-minded conversation.

    We’re very excited about the opportunities that we’ve got in front of us, for a range of products that we can bring to the market here in the US, leveraging our expertise and the capabilities of CME as well.

    Hope: CME has described the partnership as a ‘distribution play’ and an ‘expansion of their retail trading strategy’ -what do you make of this?

    Peter: CME Group has been very clear about what they’re trying to achieve with this partnership. Whether it’s trading financial products or leisure or entertainment experiences, some of which might be closer to home for us, we see strong possibilities to bring our capabilities here to the U.S. market, and that’s something which we will make available for consumers soon. For CME, they do want to get closer to the retail consumers, and we’ve got a terrific brand and lots of customers in the market. So, I think it’s a very exciting opportunity for us both.


    Hope: There’s been a flurry of activity in this space with ICE most recently investing $2bn into Polymarket. What’s your reaction?

    Peter: There’s a lot of news flow in this space and I’m pretty sanguine about it. When I look at the sort of outcomes that are possible, I think we’re very well placed irrespective of which path we end up following. That’s thanks to our capabilities, partnerships, and brand reach here in the U.S. I’m excited about it, and I can see why others are wanting to get into the market.

    Hope: When you saw that Kalshi introduced a builder combo feature which is very much like same game parlay, did you view that as a loophole to sports betting?

    Peter: Building Same Game Parlay products isn’t easy. Competitors are spending hundreds of millions trying to catch up with us, and we’re powering ahead, we’re not standing still. There’s complex pricing involved – positive and negative correlations, etc. I think it’s very difficult to deploy that through a prediction market. We’ll get some clarity on the regulators standpoint, but the combo feature looks suspiciously like sports betting to me.

    Hope: With the +20 years’ experience you have with the Betfair Exchange, how do you think that will help your strategy going forward with more peer-to-peer products?

    Peter: The Betfair Exchange definitely appeals to a subset of consumers, but it’s worth recognizing that there are some challenges with it. You can’t offer generosity through the Betfair Exchange – it’s very difficult to technically do that on these platforms because you’re sat in the middle and you’re not the principal, and it’s the principal that needs to effectively offer generosity. Consumers love generosity. They’re in it for the entertainment and the excitement, so it’s worth recognizing that.

    It’s also very difficult to find liquidity in all the different permutations and combinations that you see in the product. If I look at the work we’re doing with Your Way here in the U.S. with FanDuel, we’re getting to the point where we have effectively limitless assortments of products available for consumers to choose from.

    And we believe it’s very difficult to come anywhere close to that.
    Hope: How are you viewing the convergence of this new category overlap? What does this say about the way people view money?

    Peter: There’s a clue in how we describe ourselves, right? We call ourselves Flutter Entertainment, and ultimately that’s what we bring to life for our consumers around the world.

    But that’s our lens on it, that’s how we’re thinking about it and how we go to market. Whether that’s with Paddy Power, which is iconic for the irreverent humor it brings to its advertising. The same is true with Sportsbet in Australia. We have different brand positionings but ultimately it’s about bringing entertainment to life and I think that’s what we strive to do.


    Hope: Do you see this type of product bringing a fundamentally different kind of consumer into a category that you haven’t seen yet?

    Peter: For those of us who delve into Reddit and other similar platforms, you can see what our consumers are saying and thinking. People are trying to figure out how they can get an edge and how they can get ahead and that’s part of the game for them. And whether you apply that to sports or some of the other leisure style products or the financial markets, you can see that there’s a very strong overlap between these things.

    Hope: Talking more about how you see growth evolving. A big part of this is from media and media partnerships. With your expanded deal with Amazon Prime Video and native broadcast integration, is this a more cost-effective customer acquisition strategy?

    Peter: We’re very excited about the partnership with Amazon. As you say, the integration of the odds, whether that’s on a personalized basis so we can actually show the bets that you’ve got live on the stream that you’re watching, or the ability to overlay in real time what the betting markets are saying about what’s going to happen with the player that you’re seeing on the screen, it’s very compelling in terms of adding that excitement to the action. So we’re pleased.

    Hope: Taxes have become a hot topic. You’re passing through some costs in places like Illinois but there’s also the upcoming change with the limiting of losses happening in January. Do you expect that to have a big impact on Flutter and on the industry?

    Peter: If I look at our businesses around the world, it’s our scale that helps us in these situations. We have a bigger business that we can defray our costs across, and it allows us to mitigate the potential impact of tax changes.

    We were very disappointed with the Illinois tax. I think it disproportionately impacts the very low spending, recreational consumer base and I think it’s wrong. Nor do I think it’s a particularly smart way of raising revenues. It’s true in lots of other industries you’ll follow, but as a scale player, you can weather this stuff better. We’ll see how other markets evolve, but I think we’re well placed.

    Hope: At G2E last year you referenced ‘societal license’ as a risk to your business or something that you worry about with the growth of Flutter. With new surveys suggesting the ‘quiet middle’ might be shrinking, how are you thinking about innovation and operating at a time when there is much more attention on this area of entertainment and gaming innovation?

    Peter: It’s really important that we showcase all of the good work that we’re doing across our business to ensure we provide a safe and secure environment for our consumers so they can have fun. This includes the $100m+ that we’re spending on responsible gaming tools, like Real-Time Check-In we have here in the U.S.

    Show me a social media business that’s stopping their consumers using their products because they’re worried they’re using it too much. It doesn’t happen. But that’s what we’re doing and we’re proud of it.

    You can watch Peter’s full interview
    here.

    Continue Reading

  • ESPN unveils robust ‘Inside the NBA’ schedule for 2025-26 season

    ESPN unveils robust ‘Inside the NBA’ schedule for 2025-26 season

    ESPN today unveiled its robust Inside the NBA schedule for the 2025-26 regular season. As previously announced, Inside the NBA – produced by TNT Sports from its Atlanta studios – will serve as a pregame, halftime and postgame…

    Continue Reading