Blog

  • EV tariffs + EU-China policy at an inflection point + Exports to China

    EV tariffs + EU-China policy at an inflection point + Exports to China

    In this issue of MERICS Europe China 360°, we cover the following topics:

    • One year on from EU’s EV tariffs: Results and strategic choices ahead
    • EU’s China policy is at an inflection point
    • Soapbox-MERICS Data Highlight: EU market reality tilts transatlantic

    One year on from EU’s EV tariffs: Results and strategic choices ahead

    By Jacob Gunter and Grzegorz Stec

    The EU is currently evaluating the effectiveness of its tariffs on Chinese-made electric vehicles (EVs) since their introduction a year ago. The countervailing tariffs of 17 to 35.3 percent, which were based on investigations into several EV makers in China by the Commission, came on top of the EU’s standard ten percent car import duty. Just how the EU measures the tariffs’ effectiveness depends on their intended purpose. Were they meant only to address price distortions from subsidies or to decrease or even stop the flow of EVs from China? Or were they meant to drive Chinese automakers to invest in production sites in the EU – or a combination of all of those?

    The tariffs have had mixed results

    If measuring the impact on price distortions, the result is mixed but leans positive. The Commission’s investigation was exhaustive and certainly enabled it to set tariffs measured to offset the subsidies China-based EV makers have enjoyed. However, they were based on specific support measures and could not take into account the price wars driven by overcapacity which have shaped EV-makers’ strategy to accept razor thin margins – and even losses. Their willingness to accept margins in export markets that are very low but still higher than those in China has created global price distortions.

    If measuring effectiveness by stemming or even stopping the flow of China-made EVs (which is not a stated goal, but which some observers use as a metric of success), the result is a profound failure. Chinese EV brands doubled their market share in the EU in the last year, in part by quadrupling exports of plug-in hybrids (PHEVs) which circumvent the tariffs. That is happening even as European car exports to China continue to decline. 

    If measuring effectiveness by Chinese investments in EU production sites to avoid tariffs, the situation is difficult to judge. Chinese EV makers have announced several planned investments and production lines in the EU since the tariffs: BYD is modestly expanding an electric bus plant in Hungary, XPENG is licensing production of several models in Austria, and Chery invested in a large research and development (R&D) center attached to its existing investment in Spain. 

    However, it is difficult to determine the weight of the tariffs on those corporate decisions. Chinese EV makers that may have been considering investments in the EU may also have been deterred by Beijing’s order in fall 2024 to pause investments in member states that supported the EV tariffs. They may have interpreted it as Beijing discouraging investments generally in Europe. Now that Beijing knows EU member states’ would like more Chinese EV investments, China may allow or even encourage its EV makers to invest in those ”friendlier” member states.

    China-made EVs will continue to expand in the EU market

    China is expected to significantly increase its total car production and exports in the coming years. The China Passenger Car Association (CPCA) announced in September that it expects China to export as many as 10 million cars by 2030. Not all of those will be bound for the EU, but there are hard limits as to where sufficient numbers of customers can be found, especially as a market needs enough consumers who can afford such cars in the first place. 

    • The US holds little hope for China’s EV makers, who correctly anticipated both former President Joe Biden’s  and Donald Trump’s measures on Chinese EVs.
    • Japan and South Korea lack restrictions, but their consumers overwhelmingly prefer local brands over foreign ones, Chinese or otherwise.
    • Many BRICS members have raised barriers on Chinese cars, including Russia through new “recycling” fees, and India which is set to only permit imports once companies have invested enough in the market. 

    Continue Reading

  • Montréal to host FIGO World Congress 2027

    Montréal to host FIGO World Congress 2027

    FIGO is delighted to partner with the Society of Obstetricians and Gynaecologists of Canada (SOGC) for the XXVI FIGO World Congress of Gynecology and Obstetrics, taking place on 31 October–5 November 2027 at the Montréal Convention Centre (Palais des congrès de Montréal). 

    After a rigorous selection process, Montréal was chosen as the host city for the FIGO World Congress 2027, recognised for its vibrant cultural scene, inclusive values, excellent accessibility for international delegates and strong commitment to advancing healthcare and research.  

    The Congress will be held at the Montréal Convention Centre (Palais des congrès de Montréal), a modern and sustainable venue in the heart of the city, offering state-of-the-art facilities to support scientific exchange, networking, and collaboration. 

    Join the FIGO newsletter to be the first to hear about early bird registrations and abstract submission opportunities for the world’s largest event in obstetrics and gynaecology. 

    The 2027 World Congress will be an unmissable opportunity for clinicians, researchers, advocates, and policymakers to come together, share knowledge, and strengthen global efforts to improve the health and rights of women and girls everywhere. 

    The world-class, evidence-based scientific programme will feature emerging science and discovery, late-breaking topics and controversies, interactive simulation labs and workshops, and inspiring plenary lectures.  

    FIGO looks forward to celebrating women’s health in the vibrant city of Montréal! Our outstanding scientific programme will bring together scholars, clinicians, and researchers from across the globe. Thanks to the dedication of SOGC and Montréal’s welcoming spirit, we will have the opportunity to connect, learn, and enjoy this landmark World Congress.

    Professor Frank Louwen, FIGO President 2025–2027 

    SOGC is delighted to represent FIGO’s North American region by hosting the 2027 World Congress in Montréal. We look forward to welcoming delegates to an engaging and inspiring programme, and to sharing Canada’s rich culture, historic charm and leadership in women’s health.

    Dr Diane Francoeur, SOGC CEO 

    Continue Reading

  • Just a moment…

    Just a moment…

    Continue Reading

  • Just a moment…

    Just a moment…

    Continue Reading

  • Google bots reason, search web; Microsoft speeds up AI

    Google bots reason, search web; Microsoft speeds up AI

    Continue Reading

  • ‘Hypnotic and reverent’: Why a 12th-century mystic appeals to 21st-century audiences

    ‘Hypnotic and reverent’: Why a 12th-century mystic appeals to 21st-century audiences

    This weekend, Vermont Public Classical will partner with the Otter Creek Music Festival to present “Hildegard Reanimated,” a visual and musical reimagining of Hildegard von Bingen’s music, poetry, and…

    Continue Reading

  • Exploring the Unintended Consequences of Automation in Software

    Exploring the Unintended Consequences of Automation in Software

    Key Takeaways

    • Automation is often involved in counter-intuitive ways in software incidents (e.g., impeding resolution or complicating human response).
    • Separating tasks entirely by those that automation…

    Continue Reading

  • Access Denied


    Access Denied

    You don’t have permission to access “http://www.spglobal.com/market-intelligence/en/news-insights/articles/2025/10/global-private-equity-transaction-value-jumps-nearly-43-yoy-in-q3-2025-93644190” on this server.

    Reference #18.ca6656b8.1760088848.2692fd5d

    https://errors.edgesuite.net/18.ca6656b8.1760088848.2692fd5d

    Continue Reading

  • Rinderknech continues dream run, defeats Auger-Aliassime to reach Shanghai SFs – ATP Tour

    1. Rinderknech continues dream run, defeats Auger-Aliassime to reach Shanghai SFs  ATP Tour
    2. Underdog Arthur Rinderknech Joins Cousin Vacherot In Shanghai Masters Semis  ubitennis.net
    3. Rinderknech, Vacherot Advance to Shanghai Masters Quarterfinals -…

    Continue Reading

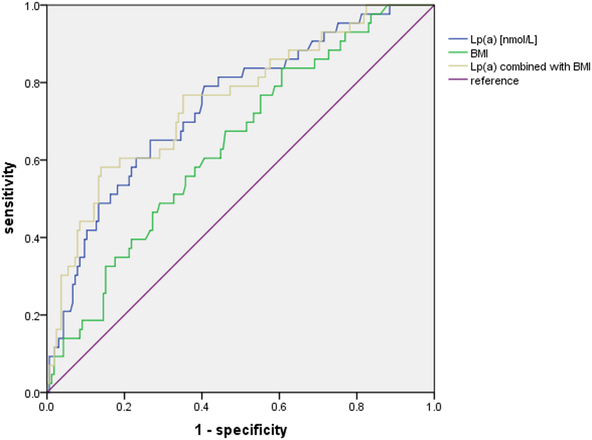
  • The predictive value of serum lipoprotein(a) level for new-onset aortic valve calcification in patients with coronary artery disease | BMC Cardiovascular Disorders

    The predictive value of serum lipoprotein(a) level for new-onset aortic valve calcification in patients with coronary artery disease | BMC Cardiovascular Disorders

    Our study demonstrated the predictive value of Lp(a) for new-onset AVC in patients with CAD, and further explored and evaluated other risk factors of AVC.

    It is known that higher Lp(a) level is associated with CAD and reduce Lp(a) is undoubtedly…

    Continue Reading