Blog

  • Nemetschek Group and WakeCap Technologies Announce Collaboration to Advance Construction Technology Innovation Across the GCC

    Nemetschek Group and WakeCap Technologies Announce Collaboration to Advance Construction Technology Innovation Across the GCC

    Strategic partnership aims to unlock new opportunities in digital construction by combining global software leadership with cutting-edge wearable technologies and deep regional expertise

    Riyadh, Saudi Arabia – 9 October 2025 – The Nemetschek Group, one of the world’s leading software providers for the Architecture, Engineering, Construction and Operations (AEC/O) industry, has partnered with WakeCap Technologies, the region’s leading construction technology company, specializing in sensor-powered, real-time project control systems. This landmark agreement sets the stage for a strategic collaboration aimed at accelerating digital transformation across the Gulf Cooperation Council’s (GCC) construction ecosystem.

    The partnership leverages the strengths of both companies: Nemetschek Group’s extensive portfolio of industry-leading software solutions and WakeCap’s cutting-edge sensor-powered project-controls platform, which delivers real-time workforce visibility and site-wide intelligence. Currently deployed across $100B+ in giga-projects with the region’s most extensive workforce database tracking over 150 million worker hours, WakeCap has established itself as the only platform operating at this scale in the Middle East. The system has delivered transformative results by driving behavioral change on construction sites, achieving 90%+ reduction in safety violation observations, 25%+ gains in productivity, and 70%+ faster incident response. WakeCap safety solutions are now mandated across Aramco, Neom, and Qiddiya.

    The agreement outlines a comprehensive framework for both companies to jointly pursue business opportunities and initiatives within the GCC. WakeCap’s deep regional expertise and established relationships with the Middle East’s largest owners and contractors will accelerate Nemetschek Arabia and its affiliates’ market entry and expansion through localized expertise and access to an established network of industry partners. The collaboration encompasses the development of joint go-to-market strategies aimed at stakeholders in construction and real estate, as well as the potential integration of WakeCap’s technologies with Nemetschek’s leading software platforms – including Bluebeam, dTwin and GoCanvas.

    Furthermore, the two organizations intend to collaborate on knowledge exchange and co-create thought leadership content, such as whitepapers and digital construction initiatives, while jointly participating in regional industry events. The partnership will also evaluate new synergies within the infrastructure and natural resource sectors, where both parties recognize increasing demand for intelligent, data-driven project delivery solutions.

    Commenting on the partnership, Marc Nezet, Group Chief Strategy Officer and Chief Division Officer of the Nemetschek Group, said: “WakeCap is one of the most innovative frontrunners in the global construction tech landscape. Their ability to deliver real-time visibility and actionable insights at scale is reshaping how major infrastructure projects are built and managed. By combining Nemetschek’s world-class software capabilities with WakeCap’s cutting-edge solutions and regional strength, we are excited to unlock transformative outcomes for the GCC’s construction sector.”

    Muayad Simbawa, Managing Director of Nemetschek Arabia, emphasized the significance of the agreement in supporting the region’s digital ambitions. “This collaboration marks a significant milestone in our mission to accelerate digital innovation in construction across the Gulf region. Together with WakeCap, we aim to deliver more connected, intelligent, and efficient project delivery models that align with the region’s national development agendas and sustainability goals.”

    “This partnership validates our vision of transforming construction through real-time intelligence”, stated Dr. Hassan Albalawi, CEO and Founder of WakeCap. “We’ve proven our technology can fundamentally change how giga-projects are delivered, reducing risk, and driving efficiency. Now, by combining our field-proven platform with Nemetschek’s global reach and software ecosystem, we’re not just expanding our market, we’re defining the future of construction technology. Our joint solutions will become the global benchmark for intelligent project delivery, starting here in the GCC where the world’s most ambitious projects are already relying on WakeCap.

    This agreement reinforces the Nemetschek Group’s long-term commitment to advancing digital innovation across global construction and infrastructure markets. With a portfolio of leading brands and platforms that span the entire AEC/O lifecycle, Nemetschek continues to deliver open, interoperable, and sustainable solutions that empower the world’s architects, engineers, contractors, and facility managers to build better.

    The GCC construction market, valued at over $120 billion annually with several trillion-dollar national transformation programs underway, represents the ideal proving ground for these advanced technologies.

    About WakeCap

    WakeCap is the sensor-powered project controls platform that has become the technology partner for the Middle East’s most complex construction projects. Since pioneering construction wearables in 2017, WakeCap’s platform is currently deployed across $100B+ of active giga-projects, with over 150M work hours tracked.

    WakeCap has delivered transformative results by driving behavioral change on construction sites, achieving 90%+ reduction in safety violation observations, 25%+ gains in productivity, and 70%+ faster incident response. The platform’s unique ability to operate without GPS, WiFi, or cabling through it’s self-forming mesh network has made it indispensable for high-risk and high-stakes projects. Trusted by industry giants including Aramco, Neom, Qiddiya, and the region’s top contractors, WakeCap is building the foundation for a smarter, safer, and more transparent construction industry.

    Continue Reading

  • Samsung Announces Finalists for First-Ever Pan-European Solve for Tomorrow Competition – Samsung Newsroom U.K.

    Samsung Announces Finalists for First-Ever Pan-European Solve for Tomorrow Competition – Samsung Newsroom U.K.

    Finalists will represent their countries with their best tech-for-good ideas in the 2025 Samsung Solve for Tomorrow competition to encourage innovation and inter-country networks

    Final competition will take place in Milan in late October, 2025

     

     

    LONDON – October 10, 2025 – Samsung Electronics Co., Ltd. announced today the 10 finalists of its inaugural European Samsung Solve for Tomorrow[1] Competition, which will take place in Milan, Italy, in late October.

     

    The finalist ideas were selected by a panel of judges who evaluated candidates based on creativity (Idea), quality (Implementation) and impact (Scalability) — across different categories. These included Sustainability, Health, and “Social Change through Sport & Technology”.  This last one is one of this year’s Global Themes after being voted on by the public in the Together for Tomorrow, Enabling People community. The newly launched theme reflects a shared commitment to inspire young people to become changemakers by combining the unifying power of sport with cutting-edge innovation.

     

    “The quality and innovation demonstrated by the entries from across Europe in our Solve For Tomorrow 2025 program was stunning,” said Benjamin Braun, Chief Marketing Officer of Samsung Electronics Europe. “The 10 finalists should be very proud of this achievement, and we are looking forward to welcoming them to Milan”.

     

    The 5 winner teams of the competition will have the opportunity to travel to Samsung’s HQ in Korea in 2026 for a guided visit that will hopefully inspire their innovative minds.

     

    The 10 finalist ideas and their representatives[2] are:

     

     

    Alicia & Gabriel 

    SkillFIT

    Germany

     

    SkillFIT is an AI-powered platform focuses on individual progress of physical education in schools rather than grades, supporting teachers in promoting movement with a focus on self-development and motivation.
    Raye & Sarah

    CuraStep

    UK

     

    CuraStep, a smart IoT biometric shoe, empowers diabetic patients and individuals with foot ulcers to stay active and help them prevent complications by safeguarding against foot wounds.  It offers potential benefits to a diverse audience with diabetic neuropathy, including professional athletes.
    Filip & Juliusz

    ExerTherapy

    Poland

     

    ExerTherapy is a project supporting the well-being of students at school. A stationary bike for exercising between classes promotes youth activity and enables the release of emotions through pedaling, which also generates electrical energy.
    Casciaro & Francesco

    Kroove

    Italy

     

    The Kroove mobile app connects young Italians through shared sports interests and local facilities, fostering inclusive communities and healthier lifestyles by bridging the gap between underutilized resources and the need for real-world social engagement.
    Evan & Simon

    Liova

    France

     

    Liova is an eco-designed power bank using components recovered from old electronic devices such as unused phones. It’s an innovative solution that promotes a circular economy, as well as a smart and sustainable approach to modern energy needs. By giving a second life to these components, the students created added value and demonstrated key skills expected in a business environment.
    Deimante & Rapolas,

    Minova

    Lithuania

     

    By leveraging AI to analyze historical sales and external factors like weather and events, the Minova solution optimizes restaurant inventory management, reducing food waste and saving costs while contributing to climate change mitigation
    Petra & Zora

    My Hormone

    Hungary

     

     

    My Hormone provides comprehensive educational resources on female hormonal balance, addressing gaps in public health education and gaining support from professional organizations to empower long-term understanding and management of complex conditions like Polycystic Ovary Syndrome (PCOS).
    Robert-Gabriel and Ilie-Ion,

    Optimum

    Romania

     

    The Optimum smart sneaker revolutionizes sports and fitness by combining sustainability, durability, comfort and advanced health monitoring, allowing users to track pulse and blood oxygen levels seamlessly while ensuring protection against water, dust and injury during any activity.

     

    Afroditi,

    Supervision

    Greece

     

    The “Braille Voice” smart voice system, awarded for its tech innovation and social impact, helps visually impaired shoppers by providing detailed product information — such as brand, price and usage instructions — through seamless voice assistance at supermarket shelves.
    Jakub and Jakub,

    VisionNex

    Czech Republic

     

    These affordable smart glasses use AI to translate visual scenes into spoken descriptions. This empowers visually impaired individuals with assistance in daily orientation and sports participation, offering a life-enhancing solution at a fraction of the cost of existing devices.

     

     

     

    The Samsung Solve for Tomorrow program is active in 20 countries[3] across Europe, with each nation selecting their best ideas to solve community-level issues with technology.

     

    Visit these websites for more information on Solve for Tomorrow: 

     

    https://csr.samsung.com/en/program/samsung-solve-for-tomorrow

     

    https://news.samsung.com/global/samsung-solve-for-tomorrow-introduces-global-themes-to-unite-student-innovators-worldwide

     

    https://news.samsung.com/global/samsung-solve-for-tomorrow-meets-the-olympic-spirit-dreaming-of-a-new-future-through-technology-and-sport-with-the-ioc

     

    https://www.olympics.com/ioc/news/together-for-tomorrow-enabling-people-ioc-and-samsung-launch-new-digital-community-to-engage-young-olympic-fans-and-drive-positive-change

    Samsung CSR

     

    [1] Samsung Solve for Tomorrow was launched in 2010 and is a global problem-solving platform where youth around the world use STEM (science, technology, engineering and math) skills to solve real-world issues in their communities to build a better future together. Over the past 15 years, almost 2.8 million students in over 68 countries have participated in the program. Launched in the United States in 2010, it began its European expansion in 2019, initially launching in Germany, Switzerland, and Italy. As of 2025, the program is now active in a total of 20 European countries, with approximately 38,000 participants in 2024.

    [2] For those teams comprised of more than 2 people, they will be represented by the finalists featured in this press release.

    [3] Austria, Belgium, Bulgaria, Czech Republic, Estonia, Finland, France, Germany, Greece, Hungary, Italy, Latvia, Lithuania, Poland, Romania, San Marino, Slovakia, Switzerland, The Netherlands, U.K.

    Continue Reading

  • Strengthening primary health care resilience through community innovation: a qualitative case study from Quito’s response to COVID-19 | International Journal for Equity in Health

    Strengthening primary health care resilience through community innovation: a qualitative case study from Quito’s response to COVID-19 | International Journal for Equity in Health

    This study explored transforming and institutionalising a new community-based PHC model in the Metropolitan District of Quito during and after the COVID-19 pandemic. The findings revealed how local governments can reposition health systems to…

    Continue Reading

  • BBC Factual announces Prisoner 951: The Hostages’ Story

    BBC Factual announces Prisoner 951: The Hostages’ Story

    Produced by Dancing Ledge Productions, a Fremantle company, this powerful and intimate new feature length documentary explores the extraordinary six-year ordeal of Nazanin Zaghari-Ratcliffe – a British-Iranian dual national held in Tehran – as…

    Continue Reading

  • Rugby Legend Sir John Kirwan Struggled With Depression—And Wants Others to Open Up About Their Own Health Stories

    Rugby Legend Sir John Kirwan Struggled With Depression—And Wants Others to Open Up About Their Own Health Stories

    “I had no reference to mental health. My reference was One Flew Over the Cuckoo’s Nest. I thought that I was just going insane. And, you know, [my doctor] said, ‘JK, it’s an illness, not a weakness, and you can get better.’” Kirwan…

    Continue Reading

  • Scientists in Australia develop nanofluidic chip with brain-like memory pathway-Xinhua

    MELBOURNE, Oct. 10 (Xinhua) — Scientists in Australia have developed a coin-sized fluid-based chip that behaves like neural pathways of the brain, potentially heralding a new generation of computers.

    The chip channels ions through tiny…

    Continue Reading

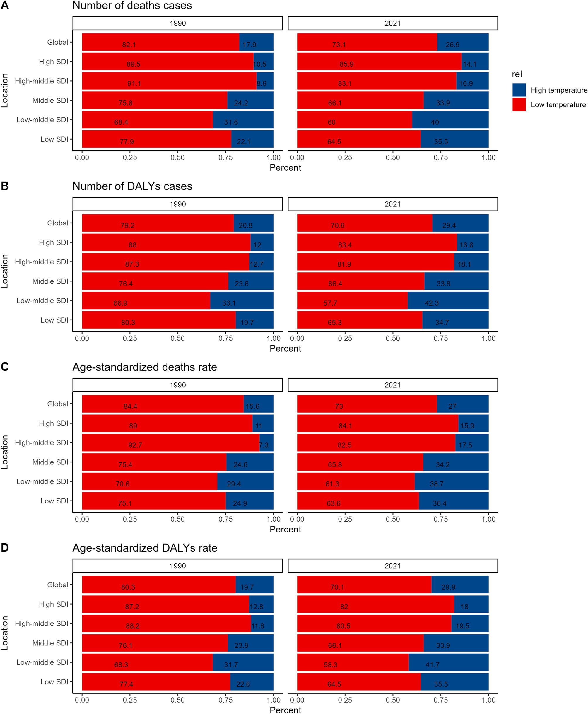
  • Impact of low environmental temperatures on the global burden of myocarditis: insights from the 1990–2021 global burden of disease study | BMC Cardiovascular Disorders

    Impact of low environmental temperatures on the global burden of myocarditis: insights from the 1990–2021 global burden of disease study | BMC Cardiovascular Disorders

    Risk factors for myocarditis

    Both low and high environmental temperatures re-identified as primary risk factors for myocarditis, with low environmental temperature being the most significant. GBD data from 1990 to 2021 confirms that low…

    Continue Reading

  • Gustaf Westman – inside the Instagram interiors sensation’s ‘chaotic’ world

    Gustaf Westman – inside the Instagram interiors sensation’s ‘chaotic’ world

    Unlock the Editor’s Digest for free

    You know you’ve arrived at Swedish designer Gustaf Westman’s studio-meets-testing ground when you see the three wide…

    Continue Reading

  • World Mental Health Day 2025: Let's move? Gracie Gold and sister Carly – Olympics.com

    1. World Mental Health Day 2025: Let’s move? Gracie Gold and sister Carly  Olympics.com
    2. For Olympian Anjum Moudgil, it’s all in the mind  Times of India
    3. Beyond the Game: Rohit Sharma, Virat Kohli and the silent battle of mental health in sports  

    Continue Reading

  • Collector Berry Dijkstra – creating pile-ups where ‘form follows fun’

    Collector Berry Dijkstra – creating pile-ups where ‘form follows fun’

    Unlock the Editor’s Digest for free

    Over the past 10 years, Berry Dijkstra has constructed a curious career. “I mostly tell people that I’m a composition…

    Continue Reading